文章来源公众号:生物快评 作者:bio2you
细胞膜和细胞膜融合是如何发生的?
Lipid nanoparticles,中文翻译为“脂质体”,也就是颗粒在纳米尺度上的脂质颗粒。为什么我们关心脂质体呢?因为在临床和科学上,我们有“操作”细胞的需求(即把核酸或者蛋白递送进入细胞)。
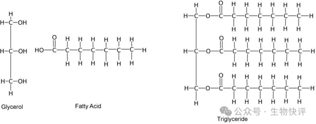
我们先以化学上的甘油三酯为例开始,唤醒一下记忆:
甘油+脂肪酸->形成甘油三酯
这个是甘油三酯,主体是绿色的甘油分子,甘油分子的三个羟基OH分别和脂肪酸形成脂质。
如果甘油其中一个OH位置不是脂肪酸,换成一个亲水的物质呢?
比如以细胞上的磷脂酰胆碱为例说明:
《Molecular Biology of the Cell 6th Edition》
蓝色的为胆碱(亲水头部),绿色为甘油骨架,黄色为磷酸基团,长长的红色为脂质,弯曲的脂质是因为有C=C双键,这种双键具有一定的“刚性”,改变了脂肪酸的构象。
细胞不是你想进,想进就能进。以哺乳动物的细胞为例,外面是一层脂质双分子层。如下如所示,红色的亲水的头部(通常为一些可以结合水的基团),尾巴是分开的脂质,脂质不喜欢水。因为他们的特点,所以在水环境中,我们看到了细胞膜是疏水的尾部靠在一起(不喜欢就逃避),亲水的头部朝向胞外液体环境,或者朝向胞质水环境(喜欢就多接触)。
https://www.britannica.com/science/cell-membrane
继续,我们在热动力学角度再分析一下磷脂双分子成形成的原因
热力学中的熵增原理是指在孤立系统中,系统的混乱度(即熵)总是会增加或保持不变,绝不会减少(热力学第二定律)。
https://www.wizeprep.com/textbooks/undergrad/biology/4164/sections/107355
单个磷脂分子在水相中,它需要接触水分子,因为疏水端不喜欢水,它会限制水分子的移动。如果磷脂的疏水端合并,减少接触水,那么更多的水就可以自由移动,自由移动的意思就是“熵增”,即混乱度增加。所以磷脂双分子层是自发形成的。
如果在气相,结果是相反的。
Lipid Bilayer,In subject area: Immunology and Microbiology
自发形成的磷脂双分子层怎么就成了细胞的结界了呢?
如果我们不在化学角度上考虑这个磷脂双分子层,那么就不好理解Na+、K+这种离子,非常小,为什么不能直接通过细胞膜呢?因为离子在亲水头部向疏水的双分子层中间转移的过程中,就是遇到脂质,这个脂质就像绝缘体一样,阻隔了K+的移动,因为他是疏水的,而离子是需要形成离子键等,需要亲水的环境。
那么又人说:“好像记得化学老师说过“相似相容””,那么脂质体和脂质体就是应该自发融解在一起的?换言之,细胞膜和脂质体就是这样“相似相容”在一起的。
对于“聪明的答案”,我想问:如果按照这个道理,每个细胞都是脂质双分子层,那我们紧密的细胞都是“连成”一团肉糜了。要记住任何脂质体的融合都不是天然发生的,需要外在的原因,因为在水环境中脂质体融合需要克服水在其中的排斥力。
比如这里两个脂质体之间是填充着水分子,水分子进行着自由移动,如果需要融合,就需要把两个脂质体中间的水分子都“排开”,这个需要额外的作用力,这个过程不是自发的。
那难道这个和“相似相容”原则违背了吗?这个并没有,相似相容指的是在溶剂中,小分子的化学物质,比如脂溶性维生素可以溶解在油脂中,因为维生素和油脂之间尺寸差异非常小,而两个类似尺寸的脂质体需要克服水在其中的排斥力。
我们再看看细胞中各种尺寸的细胞器融合,都不是无缘无故自发产生,都是依靠“外力”作用。
Biomolecules 2023, 13(7), 1130; https://doi.org/10.3390/biom13071130
比如细胞中囊泡运输,需要依靠SNARE的作用,即囊泡上SNARE蛋白和靶向的膜上的t-SNAREs(target-menbrance)形成复合卷曲,这个卷曲叫做SNARE复合物,然后构型的改变排开水分子,形成融合的膜(像个拉链一起)。
LNP和Lipo2000、PEI转染试剂有何区别?
Lipofectamine™ 2000 Transfection Reagent和PEI试剂
Lipofectamine 2000 其成分是商业秘密,但是从原理来看是一种阳离子脂质体混合物,其主要成分很可能包括:这些脂质带正电,可以与带负电的DNA或RNA分子自发结合,形成稳定的“脂质-DNA/RNA复合物”(也称为“脂质纳米颗粒”的早期形式)。这能保护核酸不被降解,并帮助其穿过细胞膜。
我们知道这种脂质体转染原代细胞困难,大概率这些Lipofectamine 2000缺少两个关键原因:第一就是他们非pH下降依赖的电离,所以导致了DNA难以从脂质体中逃逸进入细胞质,第二就是他们缺少靶向(从成本来说,肯定无靶向抗体偶联)。总结一下,Lipofectamine 2000是初代的脂质体。
PEI 聚乙烯亚胺是历史上继多聚赖氨酸之后发现的第二种聚合物转染试剂。PEI能将DNA缩合成带正电荷的微粒,这些微粒可以黏合到带有负电荷的细胞表面残基,并通过胞吞作用进入细胞。一旦进入细胞,胺的质子化导致反离子大量涌入以及渗透势降低。上述变化导致的渗透膨胀使囊泡释放聚合物与DNA形成的复合物(polyplex)进入细胞质。复合物拆解后,DNA就能自由的融合到细胞核中。所以这类不属于脂质体,是非脂质体形式的大分子聚合物。
LNP是什么?他怎么就可以和细胞融合呢?
以LNP-mRNA技术为例:脂质体是5组分居多,可电离的阳离子脂质体(核心),辅助脂质,胆固醇和PEG,核酸材料(需要递送的东西),注意这里可电离的阳离子脂质体是主要在脂质中包裹带有负电的核酸物质。
如果是这种无靶向的脂质体,那么它注射进入人体,就是依靠“被动”进入。比如LNP-mNRA疫苗就是依靠肌肉注射,然后被皮下的树突状细胞DC细胞或者朗格汉斯细胞摄入,树突状细胞依靠自己的特殊机制,天然可以“吞噬”体液循环中的颗粒状物质,然后呈递给T细胞检测,让T细胞来判读这个物质是自己的还是敌人的残骸,那么这个就是mRNA的核心机制。
DOI:10.1080/17425247.2022.2135502
如图所示,吞噬进入细胞内的LNP颗粒进入到endosome中,然后endosome的pH在质子泵的作用下,泵进入H+导致endosome的pH下降,然后阳离子脂质体开始在这个低pH的环境下电离而带电荷,导致脂质体膜结构互相排斥而不稳定,这样里面的核酸物质就会从脂质体中释放到endosome中了,最后可能1%~4%mRNA逃逸出endosome进入细胞质,然后mRNA结合上胞质中的核糖体开始编码蛋白质。
脂质体的形成
随着新冠mRNA疫苗,让大家看到了LNP-mRNA技术的优点,开始有人想是否可以用LNP来靶向递送?就是递送到不具有吞噬摄取能力的细胞上,比如T细胞。
如果不加靶向的LNP容易富集到肝脏部位,如果你的靶标刚好是肝脏那没问题,如果不是,则会造成LNP的脱靶向。比如经典的ALC0315脂质体(BNT162b2递送新冠疫苗的脂质体)和D-Lin-MC3-DMA(Onpattro® ,Patisiran),MC3 是首个获批的 siRNA 药物Patisiran 的 LNP 递送系统的关键脂质成分。它负责将 siRNA 精准递送到肝细胞,用于治疗遗传性转甲状腺素蛋白淀粉样变性(hATTR)。
LNP in vivo CAR-T是什么??
在in vivo CAR-T的研发目标之一就需要减少肝靶向,其次就是重靶向(retargeting)问题,比如靶向T细胞制备CAR-T。
https://doi.org/10.3389/fimmu.2023.1294929
解决办法有两个:
第一是对脂质体的化学成分进行改造,减少肝靶向。第二脂质体偶联靶向抗体,比如CD3CD5CD7CD8靶向抗体,通过LNP含有靶向抗体,然后结合这个靶向抗体后,细胞通过这个CD3CD5CD7CD8等受体内吞LNP复合物。
第一个方向比如Capstan研发的Lipid 829在肝富集问题,显著比benchmark(ALC0315 (BNT162b2))少(Hunter TL, Bao Y, Zhang Y, et al. In vivo CAR T cell generation to treat cancer and autoimmune disease. Science. 2025;388(6753):1311-1317. doi:10.1126/science.ads8473)。
第二个方向,比如025年9月,虹信生物(MagicRNA)在新英格兰医学杂志(The New England Journal of Medicine)上全球首次公布了基于mRNA-LNP的In vivo CAR T候选药物HN2301在系统性红斑狼疮(SLE)病人的临床试验研究数据,论文题为“In vivo CD19-CAR T-Cell Therapy for Refractory Systemic Lupus Erythematosus”。技术上通过液相微流控技术制备形成LNP-mRNA后,再次通过化学偶联CD8-VHH抗体。结果上通过静脉按照2mg/kg~4mg/kg给药可以达到20%-60% CAR-T生成(6h后),24小时后B细胞急剧下降。
另外一个重靶向的思路是:不是直接将靶向抗体直接化学偶联在LNP上,而是依靠一个连接用双特异抗体,让抗体的一端靶向LNP上的PEG分子,另一端靶向靶细胞分子(比如CD3 T)。目前菲鹏和Robert Alexander Wesselhoeft(Alex)博士共同创立的Mote Therapeutics(简称MOTE)是一家新一代RNA疗法公司,该公司的核心技术平台MOBILIZ是一种模块化、可扩展、无需化学反应的LNP功能化系统,具备高效且特异的细胞靶向递送性能。他们的创新在于他们开发了一个靶向PEG的抗体,因为PEG不是蛋白质,而是一种大分子聚合物,类似半抗原,比较难以研发针对PEG的抗体。
LNP in vivo CAR-T在治疗自勉疾病效果如何?
我们直接看近期的1个临床文章,看看LNP in vivo CAR-T在临床上表现如何:
2025年9月,虹信生物(MagicRNA)在新英格兰医学杂志(The New England Journal of Medicine)上全球首次公布了基于mRNA-LNP的In vivo CAR T候选药物HN2301在系统性红斑狼疮(SLE)病人的临床试验研究数据,论文题为“In vivo CD19-CAR T-Cell Therapy for Refractory Systemic Lupus Erythematosus”。通过虹信生物工程化细胞靶向平台(EnC-LNP)开发新型靶向CD8的脂质纳米颗粒递送编码CD19 CAR的mRNA(HN2301),在SLE病人中首次实现了CAR T细胞重编程、B细胞清除,同时观察到了良好的安全性以及初步的临床疗效。该论文的发表宣告mRNA-LNP路径的In vivo CAR T正式进入临床研究阶段,并且在人体上首次获得了临床验证。
给药前无需清淋处理,首先使用低剂量(2mg/dose)进行了单次给药,首次输注HN2301前一周内停用免疫抑制药物,给药后患者出现了一过性的发热,并且伴随着CAR T细胞的生成。给药后6h监测到外周血中CAR T达到10%,以及外周B细胞水平降低至给药前10%。
安全性方面:CAR在非CD8+ 的T细胞上脱靶表达小于10%。所有3例中剂量患者在第一次给药后均出现1级CRS,这与CRP和IL-6水平升高相关,3例患者均接受了单剂量tocilizumab治疗。值得注意的是,肝酶,包括天冬氨酸转氨酶(AST)和丙氨酸转氨酶(ALT),在观察期间保持正常范围。除短暂性淋巴细胞减少外,未见明显的血液异常。此外,在治疗期间或治疗后未观察到神经毒性作用或其他严重不良事件。
评价:LNP-mRNA体内生成CAR-T清除B细胞来治疗自免疾病是非常有前景的:1)他解决了CAR-T费用高问题,以后治疗自免疾病可能比疫苗贵不了多少,费用和抗体药物类似,但是仅仅需要一针即可。2)其次安全性高,不涉及到基因编辑和慢病毒插入导致的遗传物质改变。3)最后CAR-T生成快,B细胞清除迅速,缓解症状快速。
最大的待观察点:B细胞清除的深度是否足够,再生的B细胞依然具有缓慢发病的可能。
