本文来源于微信公众:抗体圈 作者:小编
摘要:在单克隆抗体(mAb)的生物制药生产过程中,宿主细胞蛋白(HCPs)作为关键的工艺相关杂质,其有效控制和去除对于确保药物稳定性及患者安全至关重要。本研究借助基于质谱(MS)的先进分析技术,对五种不同细胞系产生的七种单克隆抗体下游处理过程中的 HCPs 进行了系统追踪。研究发现,尽管 HCPs 在不同处理步骤中的身份存在显著差异,但收获液中最丰富的 HCPs 在种类和数量上表现出广泛的共性。通过对比 SWATH 和 DDA 两种质谱技术,证实 SWATH 在 HCPs 定量重复性上具有明显优势,尤其适用于低丰度蛋白的检测。此外,研究还揭示了 HCPs 丰度、抗体 - 蛋白相互作用等多重因素对其在纯化步骤中持久性的影响,为优化 HCPs 控制策略提供了重要依据。
HCP残留检测是生物制药质量安全的生命线,更是实现工艺优化的核心关卡。7月5日(周六)13:30-18:00,诺唯赞联合生物制品圈在苏州发起以“生物制品宿主细胞残留控制:工艺优化与检测技术研讨”为主题的线下沙龙活动,深度聚焦宿主蛋白残留检测工艺优化与检测技术创新,共筑生物制药质量安全防线。
一、研究背景:HCPs—— 单克隆抗体制备中的 “隐形挑战”
(一)HCPs 的关键影响与检测需求
在生物制药领域,单克隆抗体凭借其高度特异性和疗效,已成为治疗性蛋白中的主导产品。这些抗体通常通过中国仓鼠卵巢(CHO)细胞重组表达,但 CHO 细胞在产生目标抗体的同时,也会释放大量自身蛋白,即宿主细胞蛋白(HCPs)。这些 HCPs 若未被有效去除,可能会引发免疫反应、影响药物稳定性,甚至威胁患者安全。因此,在单克隆抗体制备的下游处理中,HCPs 的去除和监控是至关重要的环节。
传统上,酶联免疫吸附测定(ELISA)是检测 HCPs 的常用方法,但该方法存在明显局限性。例如,样品稀释时的非线性响应以及对 HCPs 覆盖的不完整性,可能导致检测的精度和准确性受损。随着质谱技术的发展,液相色谱 - 质谱(LC-MS)等正交方法为 HCPs 的全面定量分析提供了新途径,能够无限制地检测样品中的所有 HCPs。
(二)质谱技术在 HCPs 分析中的进展
过去十年间,基于质谱的蛋白质组学分析技术取得了显著进步。数据非依赖采集(DIA)和数据依赖采集(DDA)方法的应用,使得 HCPs 的个体识别和定量测量成为可能。特别是 DIA 的一种变体 —— 顺序窗口采集所有理论碎片离子光谱(SWATH),已成功应用于 CHO 细胞内蛋白和单抗下游处理池的高灵敏度、高重复性定量分析。SWATH 技术能够对样品中超过检测限的每一个肽段和碎片进行表征,具有极高的重复性,为 HCPs 的精准分析提供了强有力的工具。
然而,尽管已有诸多研究报道了 HCPs 在单抗纯化过程中的清除情况,但对于不同细胞系、不同上游和下游处理条件下 HCPs 模式的相似性和变异性,仍缺乏全面深入的了解。本研究正是基于这一现状,旨在通过先进的 DDA 和 SWATH 方法,拓展对 HCPs 持久性的认识,为优化单抗生产工艺提供科学依据。
二、研究方法:多维度技术整合的 HCPs 分析策略
(一)样品制备与实验设计
本研究涉及七种单克隆抗体的四个关键工艺流样品,包括收获液(HCCF)、蛋白 A 洗脱液以及两个抛光池样品,这些样品由基因泰克和默克公司提供。七种单抗分别由五种不同的 CHO 细胞系表达,其中单抗 1、2、3 来自细胞系 A,单抗 4、5、6、7 分别来自细胞系 B-E。同时,研究还获取了 ELISA 测定的总 HCP 浓度数据,为后续分析提供参考。
(二)质谱分析技术路线
1. 蛋白质消化与样品前处理
对于 HCCF 样品,采用标准消化(变性条件)方法:将样品中的蛋白质在 100 mM 三乙胺碳酸氢盐(TEAB)中调整至 50 μg,依次进行变性、还原和烷基化处理,使用胰蛋白酶在 37℃下消化 16 小时,消化产物经酸化后用 OMIX C18 pipette tips 进行脱盐处理。而对于纯化样品(蛋白 A 洗脱液和抛光池样品),则采用 native 消化(非变性条件):样品在 pH 6.0 条件下用 25 mM Tris 缓冲液稀释,以 1:400 的酶/底物质量比加入胰蛋白酶消化,随后进行 DTT 处理、离心过滤和酸化等步骤。
2. LC-MS/MS 数据采集
在 Sciex TripleTOF 6600 质谱仪上,HCCF 样品采用 SWATH 模式进行定量分析,先进行 MS1 全扫描,再进行 64 次 MS/MS 采集;纯化样品则采用 DDA 模式,对前 30 个前体离子进行碎裂。在 Thermo Q-Exactive High Field X 质谱仪上,HCCF 样品通过 DDA 模式进行分析,采用 140 分钟的线性梯度分离肽段,对前 40 个 hits 进行 Orbitrap 检测。
3. 蛋白质鉴定与定量
使用 ProteinPilot 软件对 DDA 数据进行处理,搜索 CHO RefSeq 2019 数据库,结合 Paragon 算法进行蛋白质鉴定。对于 SWATH 数据,通过生成光谱库,利用 Skyline 软件进行峰提取和积分,再通过 MSstats 进行蛋白质定量,以酵母醇脱氢酶(ADH)作为内标进行归一化处理。
三、研究结果:HCPs 在单抗生产过程中的动态特征
(一)HCPs 在不同工艺阶段的清除概况
如表 1 所示,七种单抗的 HCCF 样品中,ELISA 测定的总 HCP 浓度范围从低于 105 ppm 到超过 106 ppm,而 SWATH 模式下定量的 HCP 数量在 525 到 1410 之间。其中,单抗 7 的 HCCF 不仅 ELISA 测定的总 HCP 浓度最高,SWATH 定量的 HCP 数量也最多。
经过蛋白 A 层析后,总 HCP 浓度显著降低(对数减少值 LRV 为 2-4),但仍能检测到数百种 HCPs。值得注意的是,IgG4 亚型的单抗 3 和 7 的蛋白 A 洗脱液中检测到的 HCP 数量相对较少。而后续的两个抛光步骤则进一步大幅提高了产品纯度,在抛光 2 池中最多仅检测到 2 种 HCPs,最终滴度极低或低于 ELISA 定量限。
(二)SWATH 与 DDA 技术的 HCPs 定量比较
如图 1 所示,对于七种单抗的 HCCF 样品,SWATH 定量的 HCP 数量普遍多于 DDA。以单抗 7 为例,SWATH 定量了 1410 种 HCPs,而 DDA 仅定量了 631 种。进一步分析发现,73-94% 的 DDA 检测到的 HCPs 也存在于 SWATH 数据中,但 DDA 仅覆盖了 SWATH 数据中 41-70% 的 HCPs。
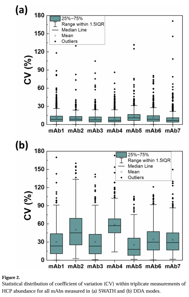
在定量重复性方面,SWATH 表现出明显优势。如图 2 所示,SWATH 测定的 HCPs 中,仅 8-15% 的变异系数(CV)超过 20%,而 DDA 模式下,这一比例高达 45% 至 80% 以上。以单抗 2 的 HCCF 样品为例,DDA 测定的 HCPs 中,42% 的 CV 超过 50%,是其他单抗的两倍左右。
如图 3 所示,在单抗 7 的 HCCF 中,SWATH 和 DDA 测定的 HCP 丰度总体上较为接近,但仍有部分 HCPs 存在显著差异。例如,肌动蛋白在 DDA 中是丰度较高的 HCPs 之一,但在 SWATH 中仅在少数 HCCF 样品中检测到极低水平,这可能与样品前处理过程中肌动蛋白的损失或不完全消化有关。
(三)HCCF 中 HCPs 的丰度特征与共性分析
对来自细胞系 A 的单抗 1-3 的 HCCF 样品分析发现,共定量了 1157 种 HCPs,其中 474 种为三者共有。如图 4 所示,在最丰富的 20 种 HCPs 中,有 5 种在三种 HCCF 中均稳定存在,基底膜特异性硫酸乙酰肝素蛋白聚糖核心蛋白是其中最丰富的。
进一步分析 HCPs 丰度与检测一致性的关系发现,如图 5 所示,在单抗 1 的 HCCF 中,三种 HCCF 共有的 HCPs 平均丰度比仅在单抗 1 中检测到的 HCPs 高 5 倍以上。这表明 HCPs 的丰度可能与其定量测量的重现性相关,丰度较高的 HCPs 更易被一致检测到。
对于来自细胞系 B-E 的单抗 4-7 的 HCCF 样品,SWATH 分析共定量了 1471 种 HCPs。结合七种单抗的 HCCF 数据,发现共有 415 种 HCPs 在所有五种细胞系中均存在,如图 6 所示。这些 “核心” HCPs 的丰度分布如图 7 所示,覆盖了 4-5 个数量级,与 Falkenberg 等人的研究结果相似,表明 HCPs 的丰度模式在不同细胞系和上游条件下具有一定的保守性。
(四)HCPs 在下游处理中的持久性分析
如图 8 所示,蛋白 A 洗脱液中检测到的 HCPs 与对应的 HCCF 样品既有重叠,也有差异。对于七种单抗的蛋白 A 洗脱液,未在 HCCF 中检测到的 HCPs 占比在 9-53% 之间,这可能归因于蛋白 A 样品前处理中使用的 native 消化方法具有更高的动态范围。
进一步分析 HCPs 丰度与持久性的关系发现,如图 9 所示,在 HCCF 中丰度较高的 HCPs 更有可能在蛋白 A 洗脱液中被检测到。然而,也有一些低丰度 HCPs 在所有单抗的蛋白 A 洗脱液中均持续存在,这表明除丰度外,其他因素如 HCP - 抗体相互作用也可能影响 HCPs 的持久性。
研究还鉴定出 34 种在所有七种蛋白 A 洗脱液中均存在的 HCPs,如表 2 所示。这些 HCPs 的等电点(pI)范围广泛,从 4.8 到 9.7,这可能解释了为什么单一的离子交换层析步骤往往无法去除所有 HCPs。其中,簇蛋白、内质网伴侣 BiP 前体等六种 HCPs 在至少两种 HCCF 中属于最丰富的 10 种 HCPs,且 14 种属于 HCCF 中平均丰度前 100 的 HCPs。
在抛光池样品中,如表 3 所示,抛光 1 池共检测到 25 种 HCPs,其中 5 种在至少三种单抗中存在;抛光 2 池仅检测到 5 种 HCPs。过氧化物酶 - 1、延伸因子 1-α1 等 HCPs 在多个抛光池中持续存在,且这些 HCPs 大多在蛋白 A 洗脱液中也有广泛检测,表明它们可能通过与抗体结合等机制在纯化过程中持续存在。
四、讨论:HCPs 控制的关键因素与技术挑战
(一)HCPs 丰度的多重影响
本研究证实,HCPs 的丰度在其清除和蛋白质组学表征中扮演着多重角色。一方面,丰度较高的 HCPs 在质谱定量中具有更高的重现性,尤其是在 DDA 模式下,低丰度 HCPs 的检测精度明显降低。另一方面,HCPs 的丰度与其在下游处理中的持久性密切相关,丰度较高的 HCPs 更有可能在蛋白 A 洗脱液等步骤中持续存在。
然而,丰度并非唯一决定因素。研究中观察到一些低丰度 HCPs 也具有持久性,这提示 HCP - 抗体相互作用、HCP 的物理化学性质(如等电点、疏水性)等因素也可能影响其清除效率。例如,某些 HCPs 可能通过与抗体形成复合物,逃避蛋白 A 层析的清除作用。
(二)质谱技术的应用前景与局限性
本研究对比了 SWATH 和 DDA 两种质谱技术在 HCPs 分析中的表现,结果表明 SWATH 在定量重复性和检测范围上具有明显优势,尤其适用于复杂生物样品中 HCPs 的全面分析。SWATH 技术的高重复性使其成为 HCPs 定量的可靠工具,而 DDA 则在新 HCPs 的发现中具有一定优势。
尽管如此,质谱技术在 HCPs 分析中仍面临一些挑战。例如,不同实验室、不同仪器和不同工作流程之间的差异可能导致结果的不一致性。此外,对于膜蛋白、细胞骨架蛋白等难溶性 HCPs,当前的样品前处理和消化方法可能存在局限性,导致其检测效率低下。
(三)HCPs 控制策略的优化方向
基于本研究结果,优化 HCPs 控制策略可以从多个角度入手。首先,在工艺开发阶段,应充分考虑 HCPs 的丰度和持久性特征,针对性地设计纯化步骤。例如,对于丰度较高且难以清除的 HCPs,可以考虑增加专门的清除步骤,如亲和层析或离子交换层析的组合。
其次,加强 HCPs 与抗体相互作用的研究,有助于开发更有效的清除策略。通过鉴定与抗体结合的 HCPs,可以设计特异性的配体或条件,促进这些 HCPs 的去除。此外,优化样品前处理和质谱分析方法,提高对难溶性 HCPs 的检测能力,对于全面了解 HCPs 谱图、指导工艺优化也至关重要。
五、结论与展望:迈向 HCPs 精准控制的生物制药新时代
本研究通过整合先进的质谱技术,全面解析了不同细胞系和处理条件下 HCPs 在单克隆抗体制备过程中的动态特征。研究结果表明,HCPs 的丰度、与抗体的相互作用等多重因素共同影响其在下游处理中的持久性,而 SWATH 等质谱技术为 HCPs 的精准定量和表征提供了强有力的工具。
展望未来,随着质谱技术的不断进步和蛋白质组学分析方法的完善,HCPs 的表征将更加全面和精准。这不仅有助于深入理解 HCPs 在单抗生产中的行为机制,还将为开发更高效的 HCPs 控制策略提供科学依据。此外,结合人工智能和机器学习技术,有望建立 HCPs 预测模型,实现从细胞系开发到下游纯化的全流程 HCPs 风险控制,推动生物制药行业向更加安全、高效的方向发展。
 
         
                 
                 
                