本文来源于微信公众号:生物屋 作者:屋中人
01
引言
在药物研发领域,离子通道作为靶点具有重要战略意义。作为跨膜蛋白,离子通道在调节离子跨膜流动过程中发挥关键作用,影响神经冲动传导、肌肉收缩、心血管功能和细胞体积调节等多个重要生理过程。据统计,目前约有10%的药物靶点是离子通道,涉及治疗癫痫、心律失常、疼痛和囊性纤维化等多种疾病。本文将全面探讨离子通道的结构、功能、门控机制及其在药物发现中的应用,特别关注其作为药物靶点的潜力和挑战。
02
离子通道的结构与功能
2.1 基本定义与分类
离子通道(ion channel)是一类跨膜大分子孔道,允许离子在电化学梯度驱动下穿过细胞膜,完成信号传导、细胞兴奋性调节等生理功能。它们在药物研发中仅次于受体成为第二大类药物靶点,目前已发现超过300种不同的离子通道。
虽然它们的个体结构各不相同,但都具有以下共同特征:
·跨膜结构域:大多数离子通道是由一系列跨膜结构域和细胞外环、细胞内环连接的完整膜蛋白组成。
·多亚基结构:许多离子通道是多亚基蛋白复合体,只有当多个兼容的蛋白质亚基聚集在一起才能形成活性通道。
·选择性孔隙:通道的孔隙通常一次只能通过一个离子,并具有特定的离子类型选择性。
离子通道根据其激活机制主要分为以下几类:
·配体门控通道
·电压门控通道
·机械敏感性通道
·pH门控通道
·温度门控通道
2.2历史发展
对离子通道的研究可以追溯到19世纪40年代,当时卡洛·马泰乌奇(Carlo Matteucci)和埃米尔·杜·博-瑞蒙德(Emil du Bois-Reymond)探索了"生物电"的概念。马泰乌奇使用电流计测量青蛙腿产生的生物电,而杜·博-瑞蒙德研究了电流对神经和肌肉组织的影响。他们的工作为电流在生物过程中的作用提供了支持,但没有解释活组织如何支持电流传导。赫尔曼·范·亥姆霍兹(Hermann von Helmholtz)证明了电信号在活组织中的传播速度远远低于在金属导线中的传播速度,这表明简单的电导不是一个可行的解释,可能涉及潜在的化学过程。
在1902年,朱利叶斯·伯恩斯坦(Julius Bernstein)引入了"膜理论",解释了活体器官内的生物电现象。他假设神经和肌肉被半透膜包围,跨膜电位差是由离子在细胞屏障上的选择性运输所产生的细胞内外离子浓度的差异。伯恩斯坦将这种效应称为"双电层"的形成,但它通常被称为"膜电位"或"膜电压"。
尽管伯恩斯坦的基本理论是正确的,但在20世纪的大部分时间里,对离子通道本质的全面理解仍然是一个谜。阿姆斯特朗(Armstrong)及其同事在20世纪70年代的研究表明,神经细胞膜上的离子通道是由蛋白质构成的,这些蛋白质控制着离子的流动。阿姆斯特朗和同事们曾总结道:“科学家们普遍认为神经细胞膜的离子通道和控制离子通过的通道是由蛋白组成的,但在这个问题上的证据却出奇的少。”
03
离子通道的门控机制
3.1 配体门控通道
配体门控通道是指当配体与通道上的特异性结合位点相互作用时被激活的离子通道。在没有配体的情况下,通道通常处于关闭状态,而当配体结合后,蛋白质构象发生变化,打开通道允许离子流动。配体移除或移动会导致通道关闭,终止离子流动。
烟碱型乙酰胆碱受体(nAChR)是一个典型的配体门控通道例子,它由5个290k Da的亚基组成,对称排列形成中心孔,每个亚基含有4个跨膜结构域。在没有乙酰胆碱等配体的情况下,孔隙关闭不允许通过。然而,当乙酰胆碱与细胞外表面上的结合位点相互作用时,蛋白质构象变化,通道打开,允许离子流通过细胞膜,产生电信号。去除激动剂可使离子通道重新回到关闭状态,信号终止。
配体门控通道的活性可以通过多种方式调节:
·激动剂:模拟天然配体的化合物可以激活通道。例如,尼古丁是nAChR的激动剂,它在该配体门控通道中的活性对烟草制品激活大脑的愉悦感受系统有部分作用。
·部分激动剂:如伐尼克兰(varenicline),与尼古丁相比,其与nAChR结合后降低了离子通道的活性水平。因为伐尼克兰与尼古丁竞争具有相同的nAChR结合位点,因此已被成功地用于降低对尼古丁的依赖。
·拮抗剂:阻断通道的化合物可以分为竞争拮抗剂和变构拮抗剂。竞争拮抗剂结合配体结合位点但不引起与配体结合相关的构象变化,阻止通道开放。变构拮抗剂则结合通道的变构位点,稳定通道的关闭状态或引起构象变化阻止天然配体结合。例如,α-神经毒素是一种肽类蛇毒,它是神经肌接头中突触后膜上nAChR的拮抗剂,导致麻痹症状。
·变构调节:巴比妥类和苯二氮类化合物可增强GABA受体(GABAAR)的活性。当这些化合物与GABAAR上各自的变构位点结合时,它们的结构发生构象变化,产生对GABA具有更高亲和力的构型,增加了氯离子通道开放的频率,增加了跨膜的氯离子转移,使相应神经元超极化。
图1. 配体门控通道在没有配体(红色)的情况下处于关闭状态。配体与通道的结合导致构象变化,从而引起通道打开,允许合适的离子通过通道迁移。配体移除后导致通道关闭,阻止离子流动。配体门控通道可以被合成配体激活或被拮抗剂(与配体结合位点结合的化合物,但不会导致通道开放)阻断。直接阻断通道也是可行的。
3.2 电压门控通道
电压门控通道是另一类主要的离子通道。与配体门控通道不同,电压门控通道没有天然配体,它们随着膜电位的变化而打开和关闭。电压感知域使得这些通道对膜电位的变化非常敏感,非常适合于神经冲动传导、肌肉收缩和心脏功能。
在静息状态下,电压门控通道关闭。当膜电位达到适当的水平时,构象变化导致通道打开,从而允许离子流跨膜。这很快导致超极化状态,诱导一系列构象变化使通道失活。在静息电位恢复并且其构象转变回闭合静息电位状态之前,通道不能重新打开。
电压门控通道的活性可以通过多种方式调节:
·直接阻断:阻断开放通道是最直接的方式。例如,氟卡尼(flecainide)通过阻断电压门控钠通道Nav1.5发挥正常的心脏功能,用于治疗心律失常和预防心动过速。
·稳定闭合构象:用化合物稳定通道的闭合形式,能有效地提高活化阈值,降低通道活性。例如,玛格毒素(margatoxin)可阻断存在于包括神经元细胞在内的多种细胞类型中的电压门控钾通道Kv1.3,改变神经元细胞的膜电位,导致动作电位传导和神经传导所需时间发生变化。
·稳定失活状态:稳定电压门控通道的超极化状态,维持通道失活,减缓达到闭合静止状态所需的构象变化。例如,T淋巴细胞中也存在Kv1.3通道,Kv1.3通道阻滞可通过抑制T细胞增殖诱导免疫抑制。
·稳定开放构象:稳定电压门控通道开放构象的化合物将增加离子通道活性。例如,瑞替加滨(retigabine)是一种用于治疗癫痫和惊厥的药物,能够稳定电压门控钾通道Kv7.2和Kv7.3的开放形式,从而导致钾离子流量增加,抑制癫痫发作。
图2. 在静息状态下,电压门控通道关闭。当膜电位达到适当的水平时,构象变化导致通道打开,从而允许离子流跨膜。这很快导致超极化状态,诱导一系列构象变化使通道失活。在静息电位恢复并且其构象转变回闭合静息电位状态之前,通道不能重新打开。
图3. 电压门控离子通道随时间作用的电位图(也称为动作电位)提供了通道活动的另一视图。刺激必须高于门控阈值才能诱导通道开放。离子流过通道引起的快速去极化导致超极化和通道失活关闭。通过相反作用使膜电位恢复之前,失活通道保持关闭状态。在此“不应期”结束并恢复静息电位之前,通道对刺激不会产生应答反应。
3.3 其他门控机制
除了配体门控和电压门控外,还有其他门控机制在正常和疾病状态中发挥重要作用:
·机械敏感性通道:由膜的机械形变(如增加的张力或曲率变化)激活,在触觉中发挥作用。
·温度门控通道:开启和关闭基于不同的热阈值,构成了冷热感觉的基础。
·pH门控通道:麦金农在1998年发现结晶的变铅青链霉菌的KcsA钾通道就是pH门控的,其活性受pH影响。
04
离子通道与疾病
4.1 离子通道病概述
不正常的离子通道功能与许多重要的疾病(离子通道病)相关,如囊性纤维化、癫痫和QT间期延长综合征等。这些疾病通常是由编码离子通道蛋白的基因突变引起的,导致离子通道功能异常,进而引起各种生理功能障碍。
4.2囊性纤维化
囊性纤维化是一种遗传性外分泌腺疾病,主要影响消化和呼吸系统,导致慢性肺部病变、胰腺外分泌功能不足、肝胆疾病和大量出汗、电解质紊乱。该病是由CFTR基因突变引起的,CFTR是一种跨膜蛋白质,也是一种重要的离子通道。
CFTR蛋白不是典型的离子通道,但它通过与氯离子通道结合,或通过将氯离子通道的调节因子传递到细胞内外,在氯离子通道的调控中发挥作用。CFTR维持上皮和其他膜上盐分和液体的正确平衡,是一种阴离子通道。CFTR内的形态变化与ATP水解有关,这种能量释放反应调节着通道的功能。
正常组织中CFTR被6个高度整齐排列的信号分子调控,了解这些调控机制对治疗囊性纤维化非常重要。近年来,针对CFTR的治疗策略已经取得显著进展,为囊性纤维化患者提供了更有效的治疗选择。
4.3癫痫
癫痫是一种遗传性或获得性的脑部疾病,特征是反复发作的癫痫发作。研究表明,多种离子通道基因与癫痫发生有关,主要包括钠离子通道、钾离子通道和钙离子通道等。编码这些通道的基因突变可影响离子通道的功能,导致神经元兴奋性异常,进而引发癫痫发作。
离子通道突变会导致遗传性癫痫的发生,而遗传性癫痫多为难治性的。研究表明,几种子家族遗传性癫痫患者携带Slo家族钾离子通道突变体。
癫痫也被认为是一种离子通道疾病,可能是由于编码离子通道蛋白基因发生突变,导致离子通道功能发生改变,从而造成神经组织兴奋性或抑制性异常改变,进而导致癫痫的发作。电压门控钠离子通道在动作电位产生和传导中至关重要,近年来研究发现,这些通道与癫痫发病机制有着密切关系,许多癫痫综合征的发生已被证实与钠通道功能异常有关。
4.4 QT间期延长综合征
长QT间期综合征(LQTS)是由任何先天性或后天性心脏离子通道功能或调节障碍(通道病)引起的,该障碍延长了心室肌细胞动作电位的持续时间,如心电图上速率校正QT间期的延长所示。
先天性LQTS是编码心肌离子通道蛋白的基因突变导致心肌细胞复极异常而引起的一组临床综合征,是一种具有潜在致死性的心电生理紊乱的离子通道病。心电图表现为QT间期延长,当QT间期延长时,尖端扭转型室性心动过速的风险增加。
QT间期延长是由心脏离子通道功能障碍损害心室复极化引起的,导致多形性室性心动过速。长QT间期综合征是一种以心电图上QT间期延长、T波异常和易发尖端扭转型室性心动过速(TdP)为特征的心脏电生理疾病。TdP通常可自行终止,导致晕厥。
05
离子通道研究技术的发展
5.1 膜片钳技术
20世纪最后30年出现的生物技术和计算机技术为最终解开离子通道之谜提供了必要的工具。由于重组技术、转染方法和电子技术的进步,厄温·内尔(Erwin Neher)和伯特·萨克曼(Bert Sakmann)开发出了能直接研究离子通道的"膜片钳"方法。在这些技术出现之前,离子通道实验仅限于分析天然存在细胞的电流,生物技术为创造表达单一离子通道的细胞系提供了必要的工具。
内尔和萨克曼的"膜片钳"技术是将含有微量吸管的盐溶液置于单个细胞表面,并测量离子流通过离子通道所产生的电流,其方式与测量导线中电流的方式大致相同。这一技术允许研究人员记录单个离子通道的电流,从而研究它们的门控特性、配体结合和电压敏感性。
电信号放大技术使得研究单个离子通道在细胞中的作用成为可能,并可以直接测量离子通道活性。内尔和萨克曼于1991年获得诺贝尔生理学或医学奖,彰显他们工作的重要意义。该方法的现代版本仍然是研究离子通道的黄金标准,是目前直接研究单个蛋白为数不多的几种技术之一。
图4. 基本的膜片钳系统由一个微量吸管组成,其开口的大小为1μm,压在细胞表面上。微吸管的内部覆盖了有限数量的离子通道,并通过在细胞表面抽吸而产生高电阻的密封(“gigaohm 密封”)。然后可以使用电极、微量吸管的盐溶液,以及适当的电流放大和监测系统,在恒定电压下测定电流,或者在恒定电流下检测化合物的存在对膜电位的改变。
5.2 离子通道的结构解析
20世纪末由于技术进步,离子通道的结构细节也逐渐被揭示。科学家测定了编码多种离子通道的蛋白序列,并利用分子模建的方法预测了跨膜蛋白通过亲脂屏障运输荷电物质的结构特征。虽然各种结构模型很早就被提出,但直到1998年才获得关于离子通道结构细节的直接晶体学证据。
罗德里克·麦金农(Roderick Mackinnon)从土壤细菌变铅青链霉菌(Streptomyces Lividans)中得到的KcsA钾通道X射线晶体结构提供了第一个完整的离子通道视图,这一成果使他获得了2003年的诺贝尔化学奖。截至2013年,RCSB蛋白质数据库中已包含3100多个离子通道的晶体结构。
KcsA钾通道的结构揭示了选择性过滤器和门控机制,为理解所有离子通道的结构和功能奠定了基础。这一突破性发现不仅增进了对离子通道基本功能的理解,也为基于结构的药物设计提供了重要基础。
5.3现代分析技术
现代技术如FLIPR®钾检测试剂盒等为离子通道研究提供了新的工具,细胞中钾离子通道的功能性评估在药物发现过程中至关重要,尤其是在涉及到心脏安全性时。FLIPR®钾检测试剂盒利用电压和配体门控钾(K+)通道对铊离子(Tl+)的通透性,提供快速、高通量的离子通道活性检测方法。此外,先进的计算方法和分子模拟技术也极大地促进了对离子通道功能和药物相互作用的理解。这些技术结合实验数据,可以预测新的药物靶点和设计具有更高特异性和疗效的化合物。
06
离子通道药物发现
6.1 离子通道作为药物靶点
离子通道药物一直是全球药物研发的热点,离子通道也是继药物受体后的第二大类药物靶点。目前已发现许多调节离子通道活性的重要药物和致命的毒素,这些药物通过作用于不同的离子通道靶点,用于治疗各种疾病。
6.2 代表性离子通道药物
(1) 钾通道阻滞剂
胺碘酮(amiodarone)是一种阻断钾通道的抗心律失常药,用于治疗心律失常和预防心动过速。玛格毒素(margatoxin)是一种从Centruroides margaritatus(中美洲树皮蝎子)的毒液中发现的39个氨基酸组成的肽,Kv1.3通道阻滞剂,可阻断存在于包括神经元细胞在内的多种细胞类型中的电压门控钾通道Kv1.3,改变神经元细胞的膜电位,导致动作电位传导和神经传导所需时间发生变化。T淋巴细胞中也存在这种通道,Kv1.3通道阻滞可通过抑制T细胞增殖诱导免疫抑制。
(2) 钙通道阻滞剂
氨氯地平(amlodipine,Norvasc®)是一种阻断钙通道的抗高血压药,用于治疗高血压和心绞痛。它通过抑制钙离子进入血管平滑肌细胞,松弛血管,降低血压。
(3) 钠通道阻滞剂
普鲁卡因(procaine)是一种阻断钠通道的局部麻醉剂,用于局部麻醉。苯妥英(phenytoin)是一种阻断钠通道的抗癫痫药,用于治疗癫痫。氟卡尼(flecainide)是一种Nav1.5通道阻滞剂和抗心律失常药,用于治疗心律失常和预防心动过速。
(4) 钾通道开放剂
瑞替加滨(retigabine,Toviaz®)是一种用于治疗癫痫和膀胱过度活动症的药物,能够稳定电压门控钾通道Kv7.2和Kv7.3的开放形式,从而导致钾离子流量增加,抑制癫痫发作和膀胱痉挛。
(5) 其他离子通道药物
格列吡嗪(glipizide)是一种阻断胰岛B细胞中钾通道的抗糖尿病药,通过影响胰岛素分泌发挥作用。伐尼克兰(varenicline,Chantix®)是一种烟碱型乙酰胆碱受体(nAChR)的部分激动剂,用于戒烟治疗。
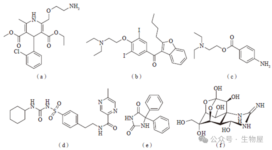
图5.(a) 氨氯地平(amlodipine,Norvasc®),一种阻断钙通道的抗高血压药;(b)胺碘酮(amiodarone),一种阻断钾通道的抗心律失常药;(c)普鲁卡因(procaine),一种阻断钠通道的局部麻醉剂;(d)格列吡嗪(glipizide),一种阻断胰岛B细胞中钾通道的抗糖尿病药;(e)苯妥英(phenytoin),一种阻断钠通道的抗癫痫药;(f)河鲀毒素(tetrodotoxin),一种发现于河鲀中的阻断钠通道的毒素,致死性比氰化物强100 倍。
6.3 离子通道药物的机制
离子通道药物的作用机制多种多样,主要通过以下几种方式调节离子通道的活性:
·直接阻断:如胺碘酮阻断钾通道,普鲁卡因阻断钠通道等。
·调节门控状态:如稳定通道的闭合状态或开放状态,改变通道的活性。
·影响通道的表达或稳定性:如调节离子通道蛋白的合成、转运或降解。
·改变细胞内信号通路:如影响与离子通道相互作用的信号分子,间接调节通道活性。
6.4 离子通道药物的挑战
尽管离子通道是重要的药物靶点,但开发选择性、高效和安全的离子通道药物仍然面临许多挑战:
·缺乏选择性:许多离子通道在结构和功能上相似,开发高选择性药物困难。
·脱靶效应:离子通道药物可能影响非靶向通道,导致不良反应。
·安全性问题:特别是对于心脏离子通道,药物可能引起严重的心律失常。
·耐药性:长期使用某些离子通道药物可能导致耐药性。
·个体差异:不同患者对离子通道药物的反应可能存在显著差异。
6.5 基于结构的药物设计
随着离子通道晶体结构的解析,基于结构的药物设计已成为开发新型离子通道药物的重要策略。通过解析KcsA钾通道等离子通道的三维结构,研究人员可以了解离子选择性过滤器和门控机制的分子基础,为设计具有更高选择性和疗效的化合物提供依据。例如,麦金农团队解析的KcsA钾通道结构揭示了钾离子通道的特异性选择机制,为设计新型钾通道阻滞剂提供了结构基础。类似地,电压门控钠通道的结构解析也为开发新型抗癫痫和镇痛药物提供了重要信息。
07
离子通道药物的临床应用
7.1 心血管疾病
离子通道在心血管系统中发挥关键作用,特别是钾通道和钙通道。异常的离子通道功能与多种心血管疾病相关,如心律失常、高血压和心力衰竭。
抗心律失常药:如胺碘酮、氟卡尼等通过阻断钾通道或钠通道,延长或缩短动作电位,恢复心脏节律。这些药物在治疗室性心动过速、房颤和房扑等心律失常中发挥重要作用。
抗高血压药:如氨氯地平通过阻断钙通道,松弛血管平滑肌,降低血压。这类药物是目前最常用的抗高血压药物之一,具有良好的疗效和安全性。
7.2 神经系统疾病
离子通道在神经系统中至关重要,参与神经元的兴奋性和信号传递。异常的离子通道功能与多种神经系统疾病相关,如癫痫、疼痛和神经退行性疾病。
抗癫痫药:如苯妥英、卡马西平和拉莫三嗪等通过阻断钠通道或增强抑制性神经传递,减少神经元的过度兴奋。这些药物在控制癫痫发作中发挥重要作用,但可能伴随多种副作用。
镇痛药:如普鲁卡因等局部麻醉剂通过阻断钠通道,抑制神经冲动的产生和传导,产生局部麻醉效果。此外,一些电压门控钙通道阻滞剂也具有镇痛作用。
治疗神经退行性疾病:研究表明,某些离子通道可能参与阿尔茨海默病、帕金森病等神经退行性疾病的病理过程,针对这些离子通道的药物可能为这些疾病的治疗提供新策略。
7.3免疫系统疾病
离子通道在免疫系统中也发挥重要作用,参与T细胞活化和免疫应答的调节。异常的离子通道功能与多种免疫系统疾病相关,如自身免疫病和炎症。
免疫抑制剂:如环孢素和他克莫司通过抑制钙调磷酸酶活性,影响T细胞活化。这些药物在器官移植和自身免疫病的治疗中发挥重要作用。
抗炎药:一些离子通道如P2X7嘌呤受体参与炎症反应的调节,针对这些通道的药物可能为炎症性疾病的治疗提供新选择。
7.4呼吸系统疾病
囊性纤维化是一种与CFTR离子通道相关的遗传性疾病,影响呼吸系统和消化系统。针对CFTR的治疗策略已经取得显著进展,为囊性纤维化患者提供了更有效的治疗选择。
CFTR调节剂:如Ivacaftor、Tezacaftor和Lumacaftor等通过增强CFTR的蛋白表达、转运或门控功能,改善氯离子的转运,减轻囊性纤维化的症状,这些药物的开发代表了离子通道药物研发的重要里程碑。
08
未来展望
8.1 新型离子通道靶点的发现
随着基因组学、转录组学和蛋白质组学技术的发展,越来越多的离子通道被发现和表征。这些新型离子通道可能成为治疗多种疾病的新靶点,例如,机械敏感性离子通道在疼痛、触觉和血压调节中发挥作用,针对这些通道的药物可能为疼痛管理和高血压治疗提供新策略。此外,温度门控通道如TRP通道在疼痛和炎症中也扮演重要角色,针对这些通道的药物可能为慢性疼痛和炎症性疾病的治疗提供新选择。
8.2 基于结构的药物设计
随着更多离子通道晶体结构的解析,基于结构的药物设计将为开发新型离子通道药物提供更精确的工具。通过了解离子通道的三维结构和功能机制,研究人员可以设计具有更高选择性和疗效的化合物,减少脱靶效应和不良反应。
8.3 个性化医疗
不同患者对离子通道药物的反应可能存在显著差异,这与遗传背景、代谢状态和疾病特征等多种因素有关。通过基因检测和生物标志物分析,可以实现离子通道药物的个体化治疗,提高治疗效果并减少不良反应。
8.4联合治疗策略
单一靶点的离子通道药物可能面临疗效有限和耐药性等问题,通过联合针对不同离子通道或信号通路的药物,可以增强治疗效果并减少副作用。例如,联合使用不同作用机制的抗癫痫药可以提高癫痫的控制率,减少单一药物的剂量和副作用。
09
结论
离子通道作为药物发现中的经典靶点,具有重要的治疗价值和广阔的发展前景。从历史发展来看,对离子通道的研究经历了从宏观到微观、从整体到分子水平的转变,这一过程促进了我们对离子通道结构和功能的理解,为开发新型离子通道药物提供了科学基础。
目前,已有多种离子通道药物用于治疗心血管疾病、神经系统疾病、免疫系统疾病和呼吸系统疾病等,这些药物通过不同的机制调节离子通道的活性,如直接阻断、调节门控状态、影响表达或稳定性等。然而,离子通道药物的开发仍面临选择性、安全性和耐药性等挑战,需要进一步的研究和创新。
未来,随着新型离子通道靶点的发现、基于结构的药物设计、个性化医疗和联合治疗策略的发展,离子通道药物将为更多疾病的治疗提供新的选择和希望。特别是针对囊性纤维化的CFTR调节剂的成功开发,为基于结构和机制的药物设计提供了成功案例,为其他离子通道相关疾病的治疗提供了重要启示。总之,离子通道作为药物发现中的经典靶点,将继续在医药研发中发挥重要作用,为患者提供更有效、更安全的治疗选择。
参考文献
1. 《药物研发基本原理》第2版,〔美〕本杰明·E. 布拉斯,科学出版社
2. 囊性纤维化跨膜调节因子与非囊性纤维化肺部疾病关系的研究进展. https://m-lcbl.amegroups.com/article/view/12096.
3. 癫痫的治疗和药物发现现状. https://html.rhhz.net/YXXB/html/20210404.htm.
4. 电压门控钠离子通道与癫痫 - 临床与病理杂志. https://m-lcbl.amegroups.com/article/view/5339.
5. 电压门控钠离子通道在难治性癫痫中的作用机制研究进展 - 自然科学版. http://jnmu.njmu.edu.cn/zr/aumn/article/html/20230617?st=article_issue.
6. 离子通道,FLIPR膜电位检测 - 酶标仪. https://www.moleculardevices.com.cn/applications/ion-channels.
7. 其它信息源于网络搜索
